Step 8: Storm Drainage Design and Installation & An Overview of SuDS

Key Points

  • On sites without freely-draining sandy soil, some storm drainage will likely be needed to ensure the health of the turf and firm playing conditions.

  • Storm drainage (both overland and subsurface) is designed by the golf course architect and a Civil Engineer with due consideration to the project budget and local regulations concerning the volume and quality of stormwater that is permitted to be released off-site (if any).

  • In conjunction with subsurface (piped) drainage, Sustainable Drainage Systems (SuDS) should be incorporated to take advantage of numerous environmental benefits.

  • Controlling stormwater on a golf course is more than preventing the flooding of facilities and play areas.  In addition to controlling the amount and rate of water leaving the course, stormwater control also involves storing irrigation water, controlling erosion and sediment, enhancing wildlife habitat, removing waterborne pollutants, and addressing aesthetic and playability concerns.  Keep in mind that not all stormwater on a golf course originates there; some may be from adjoining lands, including residential or commercial developments.

  • Every golf course should have a plan to monitor the state of the environment and the effects the golf course may be having on the environment.

  • A BMP Planning Guide and Template was issued by the Golf Course Superintendents Association of America (GCSAA) in 2023.  The best management practice guidance is intended to help superintendents manage golf facilities in an efficient and environmentally sensitive manner while also providing quality playing surfaces.  This article will highlight some of the guidance relevant to stormwater management.

With the completion of site preparation and clearing, two separate operations begin in earnest and simultaneously – bulk earthwork and the installation of storm drainage.  To learn more about bulk earthwork, see Step 7: Bulk Earthwork.

This article will take a closer look at the circumstances for which subsurface storm drainage is needed and why good drainage is so important for the health of the turf and the playability of the golf course.  We’ll also explain what Sustainable Drainage Systems (SuDS) are and how to use SuDS features to ensure that the storm drainage system isn’t contributing to downstream flooding, erosion, or pollution. 

From Sandy Links Land to Heavy Clay Inland

The sandy links land where golf originated is often characterized by a very deep profile of free draining sand so, no matter how intensely it rains or how much area is draining onto the golf course, the storm water is normally able to infiltrate into the ground essentially immediately.  In practical terms, this means that very little, or no, drainage is necessary to move “nuisance water” off the golf course after a storm to maintain firm ground conditions in any weather.  Thus, the suitability and economy of sandy, free-draining soil to golf is obvious:

In the face of oversaturated golf markets, upwardly spiraling construction and maintenance costs, and tough environmental restrictions, one of the best ways to give a project a leg up is through site selection. Sandy courses offer conditions that are almost impossible to replicate on other types of terrain, and they are more economical to build and cheaper to maintain. They provide great golf in spite of tight budgets, water restrictions, and many other issues confronting the golf industry today.
— (Waters, pg. 6)

It’s only when golf courses began to be constructed further inland that heavier, less free-draining soil types (silt and clay) were encountered, necessitating surface and subsurface drainage systems to keep the golf course from perpetual sogginess.  Wherever the percolation rate of the soil (as typically determined by the consulting agronomist through soil testing) is less than the volume of water trying to drain into that soil (which is found by multiplying the typical storm intensity by the size of the catchment area), then you begin to have problems with soggy ground and unhealthy turf characterized by shallow or anaerobic root systems. 

The land on which a golf course is built may have many different soil types with many different infiltration rates so it’s always a good idea to conduct a thorough site investigation - including soil tests and observing how long an area remains wet after a storm event - before committing to the cost of buying and installing a lot of subsurface drainage pipe.

Subsurface Drainage System Design

Once it has been determined that some storm drainage will be needed, the golf course architect will need to balance the cost of a “perfectly” drained golf course versus the reality of the project budget.  Higher budget projects are able to overcome poorly draining soils found on site by, for example, capping the entire golf course with a uniform layer of free-draining sand, in addition to installing an extensive network of underground drainage pipe.  Lower budget projects will require more creative solutions, such as creating slopes and swales with enough pitch to move water off the playing surface overland as quickly as possible.  Costly subsurface pipe can then be reserved for the most problematic, low-lying, and habitually wet areas of the site, in addition to the drainage of maintenance-intense golf features, such as greens and bunkers.

During the design phase, the golf course architect will often use their proposed grading plan to help lay out the storm drainage system schematically to better estimate how much subsurface drainage is necessary versus the drainage that can be achieved overland and without subsurface pipe.  As a general rule of thumb, water will travel overland over maintained turf grass when the grade is 3% or steeper but it should be routed to an out-of-play area, or collected into a catch basin or drainage sump, after no more than 150 feet of overland flow.  An example of a schematic subsurface drainage plan is below:

Once the schematic subsurface drainage network has been laid out, the golf course architect can engage a Civil Engineer to finalize the subsurface drainage design.  The Civil Engineer will determine the appropriate pipe sizes and calculate the inverts of the catch basins, pipes, and outlets based on (1) the size of the drainage catchments, (2) the infiltration rate of the soil, and (3) the typical and historical rainfall data.   

A fourth consideration that is increasingly relevant is the impact of climate change and how to prepare for the extreme weather events that are now happening with greater frequency.  Climate change is difficult to accurately quantify but, at the very least, due consideration should be given to the vulnerability of key infrastructure (greens, bunkers, buildings, etc.) when laying out the storm drainage system.

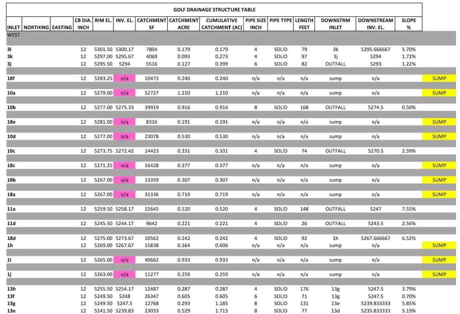
A chart prepared by a Civil Engineer showing proposed pipe sizes, inverts, and slopes for a subsurface drainage system design is shown below.  This information, when finalized, will ultimately be transferred to the drainage plan to be bid upon by the drainage sub-contractor:

‍ ‍

Sustainable Drainage Systems (SuDS)

Once storm water has been moved off of and away from play areas, it is important to consider where and how this volume of water is going to be stored or where and at what rate it can be discharged offsite (if at all).  Many golf courses are able to collect and use storm water to recharge amenity and irrigation supply lakes.  However, if not all storm water can be stored on-site, most developed countries now regulate the holding time and treatment of storm water before it can be released off-site, in an effort to control downstream flooding, erosion, and pollution. 

Typical subsurface drainage systems are designed to collect and move surface water as quickly as possible - without consideration for pollutants and contaminants.  That is why a secondary drainage system that moves the water slowly overland, also known as a Sustainable Drainage System (SuDS), should be designed in combination with the subsurface system.

The key feature of a SuDS is that it slows the flow of runoff water to reduce the quantity, and improve the quality, of the storm water that has been collected.  By slowing the water down, more surface water is able to percolate into the ground, where it will be naturally filtered and returned to groundwater.  Examples of SuDS conveyance methods include small streams and broad, shallow channels that are full of native plant life, which will naturally slow down the flow of the surface water and remove pollutants by biofiltration.  These conveyance methods can then discharge the storm water to natural or constructed wetlands and marshes, which hold storm water temporarily and allow particulate pollutants to settle out.  All of these typical SuDS features have the added benefits of increasing the site’s storage capacity and also of serving as natural amenities by attracting a wide variety of wildlife to enhance the biodiversity of the site.

Other types of SuDS features that can be incorporated into the design of the overall development include green roofs on buildings, permeable pavement for parking areas and cart paths, and rain gardens in landscaped areas.  Any measure that slows the flow of runoff water and allows for ground infiltration is beneficial.

A summary of the advantages of incorporating a SuDS into the drainage design:

  • Reduces flood risk downstream by lowering the peak flow volume;

  • Increases the site’s water storage capacity, which can help to alleviate some of the extreme storms and droughts that are now happening in greater frequency due to climate change;

  • Improves the water quality of the storm runoff through biofiltration;

  • Allows water to percolate into the ground, removing pollutants and recharging groundwater;

  • Is significantly less costly than subsurface drainage pipe and pipe bedding material;

  • Attracts wildlife to enhance biodiversity;

  • Can be utilized as an attractive aesthetic and/or strategic element on the golf course.

Practical Considerations

A SuDS system will need to be maintained over the long-term.  The water features will have to be accessible so the native vegetation can be managed, built-up sediment can be removed, and flow paths can remain unobstructed.   A buffer zone should also be maintained around the SuDS features to prevent large storm events from overwhelming the features and also to help attenuate run-off containing chemicals from intensively managed areas of the golf course.  A hydrologist or geomorphologist can review existing site conditions, determine required storage capacity, and offer technical assistance in the planning and maintenance of the site’s SuDS features.

Drainage System Installation

As parts of the site become more accessible (thanks to clearing and bulk earthwork operations), the installation of the subsurface drainage system and SuDS can proceed.  The drainage sub-contractor will have surveyors mark the locations and inverts of each subsurface drainage feature so they can be installed to match the Civil Engineer’s design to a high degree of precision. The largest and deepest pipes are installed first, followed by progressively smaller pipes as low points, bunkers, tees, and greens are graded to their designed subgrade levels.  The final step is to ensure that all pipe trenches have been backfilled and compacted properly to prevent future settling.  Any damage to finish shaping that has occurred during the installation of the drainage system will need to be repaired to the satisfaction of the golf course architect.

SuDs features will be created as fine shaping and landscaping operations continue with the assistance of a hydrologist or geomorphologist.  

The following is excerpted and adapted from: Dodson, Ronald G. Sustainable Golf Courses: A Guide to Environmental Stewardship. Foreword by Arnold Palmer. Hoboken, NJ: John Wiley & Sons, 2005.

Relevant Water Quality Principles and Guidelines

  • Drainage from golf courses should not be discharged directly to water without adequate filtration – drainage should first be filtered through native plant materials or otherwise be cleaned through appropriate best management practices (e.g. SuDS features).

  • The water quality of all water bodies (e.g. ponds, lakes, streams, etc.) should be protected by having a vegetative buffer around them – establishing low-management zones around water bodies will protect water quality.  Highly managed turf to the edge of a water body should be avoided.

  • Storm water management that includes large concrete basins and conduits or other “hard” surfaces is less desirable than using a large number of smaller-sized basins or wetlands to store water.  Conduits should be made of natural materials, and these riparian corridors generally can provide good water management and habitat value.

Best Management Practices (BMP) for Drainage

The goal for all golf courses should be to protect water quality through proper treatment of runoff prior to discharge to surface waters or environmentally sensitive areas.  BMP pollutant removal efficiency is improved by creating a “treatment train” of two or more practices (e.g. a swale that collects runoff before discharging to a constructed wetland).  Best management treatment practices include inlet control practices (whether they are vegetative practices or infiltration practices) and outlet control practices.  

Inlet Control Practices

Inlet control practices manage runoff before it is collected into the drainage system.  Inlet control practices include both vegetative and infiltration practices.  Vegetative inlet control practices use vegetation to reduce the velocity of storm water, which helps promote infiltration into the soil and the settling of solids.  Plants also protect against erosion and remove pollutants through uptake.  Infiltration inlet control practices include treatment structures that promote water entering into the soil and recharging or replenishing groundwater.  If properly designed and maintained, infiltration devices can effectively remove pollutants through adsorption to soil particles.  Some examples of vegetative and infiltration inlet control practices are described below:

Dry/Wet Swale (vegetative) – Swales are earthen channels covered with a dense growth of a hardy grass.  Swales have a limited capacity to convey large volumes of runoff but are effective outlet devices or components of a BMP treatment train.  Swale effectiveness can be enhanced by adding small check dams (4 to 10 inches (10-25 cm) high) across the swale bottom, thereby increasing detention time.

Filter Strip/Outlet to Natural Area (vegetative) – Filter strips are typically bands of close-growing vegetation, usually grass, planted between pollutant source areas (e.g. parking lots, agricultural fields) and a receiving water (e.g. pond, lake, or stream).  They can also be used as outlet or pretreatment devices for other storm water control practices.  Filter strips reduce pollutants from sheet flow such as sediment, organic matter, and many trace metals by the filtering action of the vegetation, infiltration of the pollutant-carrying water, and sediment deposition.

Vegetated Buffer (vegetative) – A vegetated buffer (also called a riparian buffer) is a natural or landscaped strip of land, including nontreated turfgrass, that protects the edges of water bodies and provides vegetative treatment of runoff.  Vegetated buffers differ from filter strips in that they are wider, more natural areas and contain diverse trees, shrubs, and grasses that can serve long-term functions as wildlife habitat and bank stabilization.

Infiltration Basin/Trench (infiltration) – Infiltration trenches are excavations typically filled with stone aggregate used to capture and allow infiltration of storm water runoff.  This runoff volume gradually exfiltrates through the bottom and sides of the trench into the subsoil and eventually reaches the water table.  Infiltration systems are limited to areas with highly porous soils and where the water table and/or bedrock are located well below the bottom of the trench.  Infiltration trenches are not intended to trap sediment and must always be designed with appropriate vegetative pretreatment measures to prevent clogging and failure.

Bioretention Area (infiltration) – Bioretention devices are shallow (6 to 10 inches (15-25 cm)) storm water basins or landscaped areas that utilize engineered soils and vegetation to promote infiltration and treatment of storm water.  These areas are typically excavated and filled with a porous soil mixture and then planted.  Soils should be suitable to drain the area within two days or less.  Bioretention areas are best suited to treat small drainage areas, parking lots, roadways, and individual lots.

French Drain (infiltration) – French drains are systems of perforated pipe set in trenches.  The trenches are filled with porous stone that allows runoff to percolate out of the drainpipes and into the surrounding soil.  French drains are designed to infiltrate only small volumes of runoff.  Vegetative pretreatment measures may be necessary to prevent clogging and failure.

Dry/wet swale

Bioretention area that treats parking lot runoff

Outlet Control Practices

Outlet control measures are designed to treat runoff that has been collected and transported to them through the drainage system.  These control practices treat runoff at the point of discharge through settling, biological uptake, and infiltration.

Phytozone – A phytozone is a small pocket wetland at the edge of a lake designed to function as a combination forebay/wetland treatment structure.  Phytozones are usually constructed as linear vegetated areas that receive runoff directly from the storm water drainage system, and that will detain and treat the runoff before it flows into the main body of the lake.  The phytozone is defined by an earthen berm heavily vegetated with appropriate aquatic plants (often woody perennials like willow or poplar that have high nutrient uptake).  They are typically sized to treat runoff from smaller, more frequent storm events through a combination of physical settling of solids and uptake of dissolved nutrients by aquatic plants.  Phytozones can also be beneficial as habitat and feeding areas for wading birds and other wildlife.

Water Quality Pond – Storm water ponds can be designed and constructed and vegetated to look like natural basins.  The outlet structures, however, are engineered to retain a portion of the runoff for treatment.  Runoff from each rain event is detained in the pond and treated primarily through settling and biological uptake.

Constructed Wetland – Constructed wetlands are artificial wetland systems that behave like natural wetlands.  These devices remove pollutants through settling and vegetative uptake.  Wetlands can provide numerous benefits by reducing storm water flows, effectively filtering pollutants, and providing wildlife habitat. 

Vegetated Outlet Structures – Vegetated outlet control measures should have a minimum flow path length of 25 feet (7.5 meters) to effectively reduce pollutants entering a receiving water.  These measures include grassed swales, filter strips, and vegetated buffer zones.  Care must be taken to properly size the treatment area, to minimize slopes and velocities, and to prevent erosive scouring.

In-Line Filters – These filters are designed to treat water flowing through the runoff collection system.  The in-line filters use a specific media (peat, sand, or granular activated carbon) to treat runoff in the drainage system prior to discharge.  These devices require active maintenance and inspection.

Water quality pond

Vegetated outlet structure into constructed wetland

Designing Natural Systems

For golf courses to move toward more sustainable operation, the entire design of all aspects of the golf course and surrounding landscapes should function ecologically.  An effort should be made to mimic what works in nature.  Following are some basic considerations regarding protecting, enhancing, or restoring natural systems:

  • Use drainage channels to create wildlife habitat, habitat linkages, and wetlands.

  • Design storm drainage systems to slow runoff times, to allow for infiltration, and to include best management practices that control erosion and clean runoff before entering primary waterways.  This can be accomplished through minimizing underground piping and maximizing open drainage swales.

  • Employ water quality ponds to trap sediment on-site.  Ponds can be dry, natural basins or constructed wetlands and should be designed to trap and hold runoff from small storms and nuisance flows.

  • Add detention ponds to the on-site storm drainage system to protect against downstream flooding, reduce sediment loading, and reduce outfall piping sizes.

  • Restore natural systems where lost or degraded by development.  Create natural systems where feasible and where they can function naturally in perpetuity.

Design Using GCSAA Best Management Practices (BMPs)

In 2023, the Golf Course Superintendents Association of America (GCSAA) issued a BMP Planning Guide and Template in part to help superintendents manage golf facilities in an efficient and environmentally sensitive manner while also providing quality playing surfaces.  The BMPs can enable a golf course facility to operate where regulatory pressures exist, and they offer the industry a significant platform for advocacy, education, recognition, and the demonstration of professional land management.  It is incumbent upon all professionals in the golf industry to familiarize themselves with the relevant BMPs and apply them where applicable.

Following are some applicable highlights from Section 1 – Planning, Design, and Construction:

  • Controlling stormwater on a golf course is more than preventing the flooding of facilities and play areas.  In addition to controlling the amount and rate of water leaving the course, stormwater control also involves storing irrigation water, controlling erosion and sediment, enhancing wildlife habitat, removing waterborne pollutants, and addressing aesthetic and playability concerns.  Keep in mind that not all stormwater on a golf course originates there; some may be from adjoining lands, including residential or commercial developments.

  • Wetlands act both as filters for pollutant removal and as nurseries for many species of birds, insects, fish and other aquatic organisms.  The biological activity of plants, fish, animals, insects, and especially bacteria and fungi in a healthy, diverse wetland is the recycling factory of an ecosystem.

  • When incorporated into a golf course design, wetlands should be maintained as preserves and separated from managed turf areas with native vegetation or structural buffers.  Constructed or disturbed wetlands may need to be permitted to be an integral part of the stormwater management system.

  • Adequate drainage is necessary for growing healthy grass.

  • A high-quality BMP plan for drainage addresses the containment of runoff, adequate buffer zones, and filtration techniques in the design and construction process to achieve acceptable water quality.

  • Internal golf course drains should not drain directly into an open waterbody, but should discharge through pretreatment zones and/or vegetative buffers to help remove nutrients and sediments.

  • Stormwater treatment is best accomplished by a “treatment train” approach, in which water is conveyed from one treatment to another by conveyances that themselves contribute to the treatment.

  • Eliminate or minimize as much directly connected impervious area as possible.

  • Use vegetated swales to slow and infiltrate water and trap pollutants in the soil, where they can be naturally destroyed by soil organisms.

  • Use depressed landscape islands in parking lots to catch, filter, and infiltrate water, instead of letting it run off.  When hard rains occur, an elevated stormwater drain inlet allows the island to hold the treatment volume and settle out sediments, while allowing the overflow to drain away.

  • Maximize the use of pervious pavements, such as brick or concrete pavers separated by sand and planted with grass.  Special high-permeability concrete is available for cart paths or parking lots.

  • Disconnect runoff from gutters and roof drains from impervious areas, so that it flows onto permeable areas that allow the water to infiltrate near the point of generation.

  • Ensure that no discharges from pipes go directly to water.

Following are some applicable highlights from Section 4 – Water Quality Monitoring and Management:

  • Every golf course should have a plan to monitor the state of the environment and the effects the golf course may be having on the environment.

  • Accommodate natural lake processes in the construction of lakes and ponds; include herbaceous and woody vegetation and emergent and submergent shoreline plants to reduce operational costs.

  • Monitoring is the method used to determine whether outside events are impacting the water quality entering the golf course, or whether the golf course is having a positive, neutral, or negative effect on water quality.  It also provides a body of evidence on the golf course’s environmental impact.

  • Post-construction surface-water quality sampling should begin with the installation and maintenance of golf course turf and landscaping.  Samples should be collected a minimum of three times per year and should continue through the first three years of operation and during the wet and dry seasons every third year thereafter, provided that all required water quality monitoring has been completed and the development continues to implement all current management plans.  It may also be wise to sample if a significant change has been made in course operation or design that could affect nearby water quality.

  • A water quality monitoring program must include monitoring of surface water, groundwater, and pond sediments.  It should be implemented in three phases: background, construction, and long-term management.

  • Sampling of all watershed ingress and egress points is important to know what is coming into the property to identify potential impacts and baseline of water data.

  • Buffers around the shore of a waterbody or other sensitive areas filter and purify runoff as it passes across the buffer.  Ideally, plant buffers with native species provide a triple play of water quality benefits, pleasing aesthetics, and habitat/food sources for wildlife.  It is important to continue these plantings into the water to provide emergent vegetation for aquatic life, even if the pond is not used for stormwater treatment.

  • Effective BMP in buffer zones include those that filter and trap sediment, limits on natural/organic fertilization, and limits on pesticide use, primarily focusing on the control of invasive species.

  • Golf course stormwater management should include “natural systems engineering” or “soft engineering” approaches that maximize the use of natural systems to treat water.

Contact Sustain Golf for more information!

We firmly believe that common sense sustainable design, construction, and maintenance practices are the keys to the long-term outlook for the game of golf. We at Sustain Golf aspire to be on the leading edge of applying sustainability concepts to golf course design and construction.  

We would be happy to answer any questions that you might have about sustainable golf course design, maintenance, and construction. Visit us at www.sustaingolf.com or contact us at the following email address for more information: matt@sustaingolf.com.

Up Next:

Step 9: From Rough Shaping to Fine Shaping

References:

Dodson, Ronald G. Sustainable Golf Courses: A Guide to Environmental Stewardship. Foreword by Arnold Palmer. Hoboken, NJ: John Wiley & Sons, 2005.

Golf Course Superintendents Association of America. (2023). Best Management Practices. Planning Guide & Template. GCSAA Foundation. https://www.gcsaa.org/docs/default-source/environment/bmp-planning-guide_2023_print_final.pdf 

Hurdzen, Dr. Michael J. Golf Course Architecture: Design, Construction & Restoration. Chelsea, MI: Sleeping Bear Press, 1996.

Susdrain Website. Retrieved from https://www.susdrain.org/delivering-suds/using-suds/background/sustainable-drainage.html

Waters, George Sand and Golf: How Terrain Shapes the Game. GOFF BOOKS, 2013 

Peer Review:

Dr. Keith Duff, former UK government wildlife agency Chief Scientist, current Golf Environment Consultant

 

Previous
Previous

Step 9: From Rough Shaping to Fine Shaping

Next
Next

Step 7: Bulk Earthwork